Aldehydes & Ketones
A flat
molecule due to sp2 hybridization


Aldehydes
& Ketones resemble each other closely in most of their properties.
Aldehydes have a hydrogen atom attached to the carbonyl group. This hydrogen affects reactivity in two ways.
a) aldehydes are quite easily oxidized, whereas ketones are oxidized with difficulty
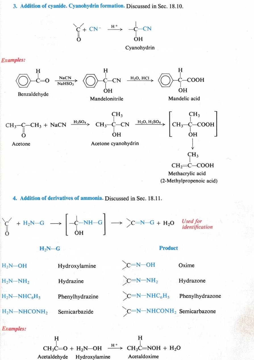
b) aldehydes are usually more reactive than ketones toward nucleophilic addition (the characteristic reaction of carbonyl compounds).
c)

Pyridinium
chlorochromate






If acid is present, hydrogen
ion becomes attached to the carbonyl oxyge.
Ths prior protonation lowers the Eact for
nucleophilic attack, since it premits oxygen to acquire the p electrons without having to accept a negative
charge. Thus nucleophilic addition to
aldehydes and ketons can be catalyzed by acids (sometimes, by Lewis
acids.)



